ГОСУДАРСТВЕННОЕ САНИТАРНО-ЭПИДЕМИОЛОГИЧЕСКОЕ НОРМИРОВАНИЕ
РОССИЙСКОЙ ФЕДЕРАЦИИ
4.1. МЕТОДЫ КОНТРОЛЯ. ХИМИЧЕСКИЕ ФАКТОРЫ
ИЗМЕРЕНИЕ
КОНЦЕНТРАЦИЙ ВРЕДНЫХ ВЕЩЕСТВ
В ВОЗДУХЕ РАБОЧЕЙ ЗОНЫ
СПЕКТРОФОТОМЕТРИЧЕСКОЕ
ИЗМЕРЕНИЕ
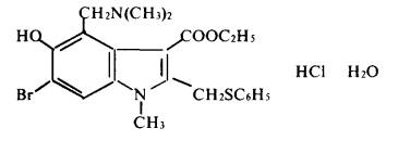
КОНЦЕНТРАЦИИ 1-МЕТИЛ-2-ФЕНИЛТИОМЕТИЛ-
3-КАРБЭТОКСИ-4-ДИМЕТИЛАМИНОМЕТИЛ-5-ОКСИ-
6-БРОМИНДОЛА ГИДРОХЛОРИДА (АРБИДОЛА
ГИДРОХЛОРИДА) В ВОЗДУХЕ РАБОЧЕЙ ЗОНЫ
МУК 4.1.0.504-96
МИНЗДРАВ РОССИИ
Москва 2003
1. Методические указания разработаны с целью обеспечения контроля соответствия фактических концентраций вредных веществ их предельно допустимым концентрациям (ПДК) и ориентировочно безопасным уровням воздействия, санитарно-гигиеническим нормативам и являются обязательными при осуществлении санитарного контроля.
2. Методические указания по измерению концентраций вредных веществ в воздухе рабочей зоны (выпуск 34) утверждены и. о. председателя Госкомсанэпиднадзора России, заместителем Главного Государственного санитарного врача Российской Федерации Беляевым Е. Н. 8 июня 1996 г.
3. Введены впервые.
4. Включенные в данный выпуск методики контроля разработаны и подготовлены в соответствии с требованиями ГОСТ 12.1.005-88 ССБТ «Воздух рабочей зоны. Общие санитарно-гигиенические требования», ГОСТ 12.1.016-79 ССБТ «Воздух рабочей зоны. Требования к методикам контроля измерения концентраций вредных веществ», ГОСТ Р 1.5-92 п. 7.3, ГОСТ 8.010-90 «Государственная система обеспечения единства измерений. Методики выполнения измерений». Методические указания одобрены комиссией по государственному санитарно-эпидемиологическому нормированию Госкомсанэпиднадзора России и Проблемной комиссией «Научные основы гигиены труда и профпатологии».
Методические указания по измерению концентраций вредных веществ в воздухе рабочей зоны (выпуск 34) предназначены для центров Госкомсанэпиднадзора, санитарных лабораторий промышленных предприятий при осуществлении контроля за содержанием вредных веществ в воздухе рабочей зоны, а также заинтересованных министерств и ведомств.
Ответственный исполнитель: Г. А. Дьякова
Исполнители: Г. А. Дьякова, Л. Г. Макеева, Е. М. Малинина, С. М. Попова, Е. Н. Грицун, Т. В. Рязанцева, Г. Ф. Громова.
УТВЕРЖДЕНО
И. о. Председателя
Госкомсанэпиднадзора России –
заместитель Главного государственного
санитарного врача Российской Федерации
Е. Н. Беляев
8 июня 1996 г.
МУК 4.1.504-96
Дата введения: с момента утверждения
4.1. МЕТОДЫ КОНТРОЛЯ. ХИМИЧЕСКИЕ ФАКТОРЫ
СПЕКТРОФОТОМЕТРИЧЕСКОЕ
ИЗМЕРЕНИЕ
КОНЦЕНТРАЦИИ 1-МЕТИЛ-2-ФЕНИЛТИОМЕТИЛ-
3-КАРБЭТОКСИ-4-ДИМЕТИЛАМИНОМЕТИЛ-5-ОКСИ-
6-БРОМИНДОЛА ГИДРОХЛОРИДА (АРБИДОЛА
ГИДРОХЛОРИДА) В ВОЗДУХЕ РАБОЧЕЙ ЗОНЫ

М. м. 531,92
Арбидол - кристаллический порошок от белого с кремоватым оттенком до светло-кремового цвета. Горького вкуса, без запаха. Легко растворим в метаноле, растворим в этиловом спирте, хлороформе, очень мало растворим в воде.
В воздухе находится в виде аэрозоля.
Обладает общетоксическим действием.
ОБУВ в воздухе - 1 мг/м3.
Определение основано на измерении светопоглощения растворов арбидола в этиловом спирте при длине волны 310 нм.
Отбор проб проводится с концентрированием на фильтр.
Нижний предел измерения в содержании вещества в анализируемом объеме пробы - 10 мкг.
Нижний предел измерения концентрации вещества в воздухе (при отборе 20 л воздуха) - 0,5 мг/м3.
Диапазон измеряемых концентраций в воздухе - от 0,5 до 10 мг/м3.
Определению не мешают пары этилового и изопропилового спиртов. Определение избирательно на стадиях сушки, просеивания и фасовки.
Суммарная погрешность измерения не превышает ±14,8 %.
Время выполнения измерений, включая отбор проб, - 20 мин.
|
Спектрофотометр |
|
|
Аспирационное устройство |
|
|
Пипетки, вместимостью 1, 2 и 10 мл |
ГОСТ 20292-74Е |
|
Стаканы химические, вместимостью 25 мл |
ГОСТ 23932-79Е |
|
Колбы мерные, вместимостью 25, 100 мл |
|
|
Фильтродержатели |
|
|
Арбидол фармакопейный |
|
|
Этиловый спирт |
ГОСТ 5963-67 |
Стандартный раствор № 1 с концентрацией вещества 500 мкг/мл готовят растворением 0,050 г арбидола в спирте этиловом в мерной колбе вместимостью 100 мл.
Раствор устойчив в течение месяца.
Стандартный раствор № 2 с концентрацией вещества 100 мкг/мл готовят соответствующим разбавлением стандартного раствора № 1 этанолом.
Раствор устойчив в течение месяца.
|
Фильтры АФА-ВП-10 |
ТУ 85-743-80 |
Воздух с объемным расходом 5 л/мин аспирируют через фильтр типа АФА-ВП-10. Для измерения 1/2 ОБУВ достаточно отобрать 20 л воздуха. Срок хранения отобранных проб трое суток в холодильнике.
Градуировочные растворы (устойчивы в течение суток) готовят согласно таблице.
Таблица
Шкала градуировочных растворов
|
№ стандарта |
Стандартный р-р № 2, мл |
Этанол, мл |
Содержание вещества в градуировочном р-ре, мкг |
|
1 |
0 |
10 |
0 |
|
2 |
0,1 |
9,9 |
10 |
|
3 |
0,5 |
9,5 |
50 |
|
4 |
1 |
9,0 |
100 |
|
5 |
1,5 |
8,5 |
150 |
|
6 |
2 |
8 |
200 |
Подготовленные градуировочные растворы перемешивают и через 5 мин измеряют оптическую плотность. Измерение проводят в кюветах с толщиной поглощающего слоя 10 мм при длине волны 310 нм по отношению к раствору сравнения, не содержащему вещества (стандарт № 1 по таблице).
Строят градуировочный график: на ось ординат наносят значение оптической плотности градуировочных растворов, на ось абсцисс - соответствующие им величины содержания вещества в градуировочных растворах (в мкг).
Проверка градуировочного графика проводится 1 раз в 3 месяца, или в случае использования новой партии реактивов.
Фильтр с отобранной пробой переносят в химический стакан, приливают 10 мл этанола и оставляют на 10-15 мин, периодически помешивая стеклянной палочкой для лучшего растворения вещества. Затем фильтр тщательно отжимают и удаляют. Степень десорбции с фильтра - 98 %.
Измеряют оптическую плотность полученных растворов аналогично градуировочным растворам. Раствором сравнения служит контрольный раствор, который готовят одновременно и аналогично пробам, используя чистый фильтр.
Количественное определение содержания вещества в анализируемой пробе (мкг) определяют по предварительно построенному градуировочному графику.
Концентрацию арбидола С в воздухе в (мг/м3) вычисляют по формуле:
, где
а - содержание вещества в анализируемом объеме растворы пробы, найденное по градуировочному графику, мкг;
V - объем воздуха, взятого для анализа и приведенного к стандартным условиям, л (см. приложение 1).
Приведение объема воздуха к стандартным условиям (температура 20 °С и давление 760 мм рт. ст.) проводят по формуле:
, где
Vt - объем воздуха, отобранный для анализа, л;
Р - барометрическое давление, кПа (101,33 кПа = 760 мм рт. ст.);
t - температура воздуха в месте отбора пробы, °С.
Для удобства расчета V20 следует пользоваться таблицей коэффициентов (приложение 2). Для приведения воздуха к стандартным условиям надо умножить Vt на соответствующий коэффициент.
|
Давление Р, кПа/мм рт. ст. |
||||||||||
|
°С |
97,33/730 |
97,86/734 |
98,4/738 |
98,93/742 |
99,46/746 |
100/750 |
100,53/754 |
101,06/758 |
101,33/760 |
101,86/764 |
|
-30 |
1,1582 |
1,1646 |
1,1709 |
1,1772 |
1,1836 |
1,1899 |
1,1963 |
1,2026 |
1,2058 |
1,2122 |
|
-26 |
1,1393 |
1,1456 |
1,1519 |
1,1581 |
1,1644 |
1,1705 |
1,1768 |
1,1831 |
1,1862 |
1,1925 |
|
-22 |
1,1212 |
1,1274 |
1,1336 |
1,1396 |
1,1458 |
1,1519 |
1,1581 |
1,1643 |
1,1673 |
1,1735 |
|
-18 |
1,1036 |
1,1097 |
1,1158 |
1,1218 |
1,1278 |
1,1338 |
1,1399 |
1,1460 |
1,1490 |
1,1551 |
|
-14 |
1,0866 |
1,0926 |
1,0986 |
1,1045 |
1,1105 |
1,1164 |
1,1224 |
1,1284 |
1,1313 |
1,1373 |
|
-10 |
1,0701 |
1,0760 |
1,0819 |
1,0877 |
1,0986 |
1,0994 |
1,1053 |
1,1112 |
1,1141 |
1,1200 |
|
-6 |
1,0540 |
1,0599 |
1,0657 |
1,0714 |
1,0772 |
1,0829 |
1,0887 |
1,0945 |
1,0974 |
1,1032 |
|
-2 |
1,0385 |
1,0442 |
1,0499 |
1,0556 |
1,0613 |
1,0669 |
1,0726 |
1,0784 |
1,0812 |
1,0869 |
|
0 |
1,0309 |
1,0366 |
1,0423 |
1,0477 |
1,0535 |
1,0591 |
1,0648 |
1,0705 |
1,0733 |
1,0789 |
|
+2 |
1,0234 |
1,0291 |
1,0347 |
1,0402 |
1,0459 |
1,0514 |
1,0571 |
1,0627 |
1,0655 |
1,0712 |
|
+6 |
1,0087 |
1,0143 |
1,0198 |
1,0253 |
1,0309 |
1,0363 |
1,0419 |
1,0475 |
1,0502 |
1,0557 |
|
+10 |
0,9944 |
0,9999 |
0,0054 |
1,0108 |
1,0162 |
1,0216 |
1,0272 |
1,0353 |
1,0326 |
1,0407 |
|
+14 |
0,9806 |
0,9860 |
0,9914 |
0,9967 |
1,0027 |
1,0074 |
1,0128 |
1,0183 |
1,0209 |
1,0263 |
|
+18 |
0,9671 |
0,9725 |
0,9778 |
0,9830 |
0,9884 |
0,9936 |
0,9989 |
1,0043 |
1,0069 |
1,0122 |
|
+20 |
0,9605 |
0,9658 |
0,9711 |
0,9783 |
0,9816 |
0,9868 |
0,9921 |
0,9974 |
1,0000 |
1,0053 |
|
+22 |
0,9539 |
0,9592 |
0,9645 |
0,9696 |
0,9749 |
0,9800 |
0,9853 |
0,9906 |
0,9932 |
0,9985 |
|
+24 |
0,9475 |
0,9527 |
0,9579 |
0,9631 |
0,9683 |
0,9735 |
0,9787 |
0,9839 |
0,9865 |
0,9917 |
|
+26 |
0,9412 |
0,9464 |
0,9516 |
0,9566 |
0,9618 |
0,9669 |
0,9721 |
0,9773 |
0,9799 |
0,9851 |
|
+28 |
0,9349 |
0,9401 |
0,9453 |
0,9503 |
0,9555 |
0,9605 |
0,9657 |
0,9708 |
0,9734 |
0,9785 |
|
+30 |
0,9288 |
0,9339 |
0,9391 |
0,9440 |
0,9432 |
0,9542 |
0,9594 |
0,9645 |
0,9670 |
0,9723 |
|
+34 |
0,9167 |
0,9218 |
0,9268 |
0,9318 |
0,9368 |
0,9418 |
0,9468 |
0,9519 |
0,9544 |
0,9595 |
|
+38 |
0,9049 |
0,9099 |
0,9149 |
0,9199 |
0,9248 |
0,9297 |
0,9347 |
0,9397 |
0,9421 |
0,9471 |
|
Наименование вещества |
Опубликованные методические указания |
|
Гексаметилендиаминадипинат (соль АГ) |
Методические указания по хроматографическому измерению концентраций гексаметилендиаммонийсебацината в воздухе рабочей зоны. Вып. XXII., М., 1988. - 85 с. |
|
Натрия перкарбонат |
Методические указания по фотометрическому измерению концентраций едких щелочей и карбоната натрия в воздухе рабочей зоны, переработанные и дополненные технические условия. Вып. 10. М., 1988. - 49 с. |
|
Ванадиевые катализаторы |
Методические указания на фотометрическое определение ванадия и его соединений в воздухе. Вып. 1-5. М., 1981. - 7 с. |
|
Полисульфоны (ПСК-1, ПСФ-КС, ПСФ-150-1, ПСФ-150, ПСФ-200, ПСБ-220, ПСБ-230, ПСФ-180-1, ПСФ-190) |
Методические указания на гравиметрическое определение пыли в воздухе рабочей зоны и в системах вентиляционных установках. Вып. 1-5. М., 1981. - 235 с. |
|
Абомин |
Методические указания по фотометрическому определению БВК в воздухе. Вып. XVIII. М., 1983. - 139 с. |
СОДЕРЖАНИЕ
|
_________________________________________________________ |