Государственное
санитарно-эпидемиологическое нормирование
Российской Федерации
4.1. МЕТОДЫ КОНТРОЛЯ. ХИМИЧЕСКИЕ ФАКТОРЫ
Фотометрическое измерение концентраций фосфиноксида разнорадикального циклического (ФОР-Ц или циклофора) в воздухе рабочей зоны
МУК 4.1.263-96
Минздрав России
Москва 2000
1. Методические указания по измерению концентрации вредных веществ в воздухе рабочей зоны (выпуск 30) разработаны с целью обеспечения контроля соответствия фактических концентраций вредных веществ их предельно допустимым концентрациям (ПДК) и ориентировочно безопасным уровням воздействия (ОБУВ) - санитарно-гигиеническим нормативам и являются обязательными при осуществлении санитарного контроля.
2. Методические указания по измерению концентраций вредных веществ в воздухе рабочей зоны утверждены и. о. Председателя Госкомсанэпиднадзора России - заместителем Главного государственного санитарного врача Российской Федерации 8 июня 1996 г.
3. Введены впервые.
4. Включенные в данный выпуск 74 методики контроля вредных веществ в воздухе рабочей зоны разработаны и подготовлены в соответствии с требованиями ГОСТа 12.1.005-88 ССБТ "Воздух рабочей зоны. Общие санитарно-гигиенические требования", ГОСТа 12.1.016-79 ССБТ "Воздух рабочей зоны. Требования к методикам измерения концентраций вредных веществ" и ГОСТа Р 1.5-92 п. 7.3.
Методические указания одобрены на совместном заседании группы Главного эксперта Федеральной комиссии по санитарно-гигиеническому нормированию "Лабораторно-инструментальное дело и метрологическое обеспечение" и методбюро п/секции "Промышленно-санитарная химия" Проблемной комиссии "Научные основы гигиены труда и профпатологии".
Ответственные исполнители: Г. А. Дьякова, C. И. Муравьева
Исполнители: Г. А. Дьякова, Н. С. Горячев. Л. Г. Макеева, Г. В. Муравьева, Е. М. Малинина, Е. В. Грыжина, Е. Н. Грицун.
УТВЕРЖДЕНО
И. о. Председателя Госкомсанэпиднадзора
России - заместителем Главного
государственного санитарного врача
Российской Федерации
Г.Г. Онищенко
8 июня 1996 г.
МУК 4.1.263-96
Дата введения: с момента утверждения
4.1. МЕТОДЫ КОНТРОЛЯ. ХИМИЧЕСКИЕ ФАКТОРЫ

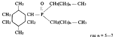
С20-24Н41-49РО М. м. 356
ФОР-Ц - вязкая подвижная жидкость, окрашенная в желтый (до светло-коричневого) цвет, с характерным запахом, практически не растворима в воде, хорошо растворяется в большинстве органических растворителей. Плотность - 0,996 г/см3 при 20 °С. Ткип. - 140 °С при 5,3 мм рт. ст. и 350-400 °С при 760 мм рт. ст. Массовая доля фосфора - 8,7-10,1 %.
В воздухе находится в виде паров и аэрозоля.
ФОР-Ц оказывает токсическое влияние на периферическую кровь, функциональное состояние печени, почек, ЦНС.
ПДК в воздухе - 2 мг/м3.
Характеристика метода
Метод основан на окислении ФОР-Ц серной кислотой до ортофосфорной кислоты, определяемой колориметрически по синему фосформолибденовому комплексу с использованием в качестве катализатора калия сурьмяновиннокислого, и последующем фотометрическом измерении окрашенного продукта реакции при 670 нм.
Отбор проб проводят с концентрированием на фильтр и в спирт этиловый.
Нижний предел обнаружения ФОР-Ц в анализируемом объеме раствора - 10 мкг.
Нижний предел измерения ФОР-Ц в воздухе - 1 мг/м3 (при отборе 10 л воздуха).
Диапазон измеряемых концентраций ФОР-Ц - от 1 до 12 мг/м3.
Определению мешают соединения пятивалентного фосфора.
Суммарная погрешность измерения не превышает ± 20 %.
Время выполнения измерения, включая отбор проб, - 16 часов.
Приборы, аппаратура, посуда
|
Фотоэлектроколориметр КФК-2 или другой марки |
|
|
Поглотительные сосуды с пористой стеклянной пластинкой № 2 |
|
|
Фильтродержатели |
|
|
Химические стаканы, вместимостью 50 мл |
ГОСТ 25236-82 |
|
Пробирки стеклянные, высотой 120 мм, с внутренним диаметром 14 мм |
ГОСТ 25336-82 |
|
Пипетки, вместимостью 1, 2, 5 и 10 мл |
ГОСТ 20292-74 |
|
Колбы мерные, вместимостью 50 мл |
|
|
Отгонный аппарат ИР-IМ с набором колб. В случае отсутствия отгонного аппарата ИР-IМ удаление спирта и все дальнейшие операции возможно проводить в тиглях |
|
|
Песчаная баня |
|
Реактивы, растворы, материалы
|
ФОР-Ц, х. ч. |
|
|
Спирт этиловый |
ГОСТ 18300-72 |
|
Кислота серная, пл. 1,84, х. ч. 5Н раствор |
ГОСТ 4204-77 |
|
Калий сурьмяновиннокислый, х. ч., 0,27 %-ный раствор, свежеприготовленный |
ТУ 6-09-803-76 |
|
Кислота аскорбиновая, х. ч., 1,7 %-ный раствор, свежеприготовленный |
ГОСТ 4815-75 |
|
Аммоний молибденовокислый, х. ч., 5 %-ный раствор |
ГОСТ 3765078 |
|
Аммоний азотнокислый, х. ч. |
ГОСТ 22867-77 |
Цветообразующий реагент: 10 мл 5Н серной кислоты, 1 мл 0,27 %-ного раствора калия сурьмяновиннокислого, 3 мл 5 %-ного молибдата аммония, 6 мл свежеприготовленного 1,7 %-ного раствора аскорбиновой кислоты, 5 мл дистиллированной воды.
Стандартный раствор ФОР-Ц № 1. В мерную колбу, вместимостью 25 мл, наливают примерно 5 мл спирта, закрывают колбу притертой пробкой и взвешивают. Добавляют несколько капель ФОР-Ц и вновь взвешивают. Объем раствора доводят до метки этиловым спиртом и по разности результатов двух взвешиваний рассчитывают концентрацию раствора ФОР-Ц. Раствор годен к употреблению в течение суток.
Стандартный раствор ФОР-Ц № 2 с содержанием 20 мкг/мл готовят соответствующим разбавлением стандартного раствора № 1 этиловым спиртом. Фильтры АФА-ХА-10.
Отбор пробы воздуха
Воздух со скоростью расходом 1 л/мин аспирируют через фильтр, помещенный в фильтродержатель, и 2 последовательно соединенных поглотительных сосуда с пористой пластинкой № 2, содержащих по 10 мл этилового спирта (при охлаждении поглотительных сосудов смесью соли и льда).
Для определения содержания концентраций ФОР-Ц, соответствующих 1/2 ПДК, достаточно отобрать 10 л воздуха. Отобранные пробы хранятся в течение суток.
Подготовка к измерению
Для построения градуировочного графика готовят шкалу стандартов согласно таблице.
Таблица
Шкала градуировочных растворов
|
№ стандарта |
Стандартный р-р № 2, мл |
Спирт этиловый |
Содержание ФОР-Ц, мкг |
|
1 |
0,0 |
10 |
0 |
|
2 |
0,5 |
9,5 |
10 |
|
3 |
1,0 |
9,0 |
20 |
|
4 |
2,0 |
8,0 |
40 |
|
5 |
3,0 |
7,0 |
60 |
|
6 |
4,0 |
6,0 |
80 |
|
7 |
6,0 |
4,0 |
120 |
Спирт удаляют с помощью отгонного аппарата при небольшом разрежении (40 мм рт. ст.), при отсутствии его выпаривание проводят в тиглях. К сухому остатку приливают по 3 мл концентрированной серной кислоты, примерно 0,3-0,5 г аммония азотнокислого и нагревают на песчаной бане до удаления серной кислоты. Если в процессе нагревания раствор не обесцвечивается, добавляют еще несколько кристаллов аммония азотнокислого. После охлаждения сухой остаток растворяют в 10 мл воды и переносят в пробирки. Прибавляют по 2 мл цветообразующего реагента и помещают на 5 мин в кипящую водяную баню. После охлаждения измеряют оптическую плотность растворов на фотоколориметре с красным светофильтром при длине волны 670 нм в кювете с толщиной поглощающего слоя 20 мм. Раствором сравнения служит проба, не содержащая ФОР-Ц (стандарт № 1 по таблице).
Строят градуировочный график: на ось ординат наносят значения оптической плотности, на ось абсцисс - соответствующие им значения величин содержания ФОР-Ц в градуировочном растворе.
Шкала устойчива в течение рабочего дня.
Проведение измерения
Фильтр переносят в мерную пробирку с притертой пробкой и обрабатывают 10 мл этилового спирта 20-30 мин, периодически взбалтывая. Затем фильтр тщательно отжимают стеклянной палочкой. Содержимое поглотительных сосудов вносят в пробирки, ополаскивая поглотители 3 мл спирта и доводят объем проб спиртом до 10 мл. Каждую пробу анализируют отдельно, аналогично шкале стандартов.
Содержание ФОР-Ц определяют по предварительно построенному градуировочному графику.
Расчет концентрации
Концентрацию ФОР-Ц (С) в воздухе (мг/м3) вычисляют по формуле:
, где
а - количество вещества, найденного в анализируемой пробе, мкг;
V - объем воздуха, отобранного для анализа и приведенного к стандартным условиям, л (см. приложение 1).
Методические указания разработаны Харьковским НИИ ГТ и ГЗ.
Приведение объема воздуха к стандартным условиям (температуре 20 °С и давление 760 мм рт. ст.)
Приведение объема воздуха к стандартным условиям проводят по формуле:
, где
Vt - объем воздуха, отобранного для анализа, л;
Р - барометрическое давление, мм рт. ст. (760 мм рт. ст. = 101,33 кПа);
t° - температура воздуха в месте отбора пробы, °С.
Для удобства расчета Vст следует пользоваться таблицей коэффициентов (приложение 2). Для приведения объема воздуха к температуре 20 °С и давлению 760 мм рт. ст. (101,33 кПа) надо умножить Vt на соответствующий коэффициент.
Коэффициент К для приведения объема воздуха к стандартным условиям
|
Давление Р, кПа/мм рт. ст. |
||||||||||
|
°С |
730 |
734 |
738 |
742 |
746 |
750 |
754 |
758 |
760 |
764 |
|
-30 |
1,1582 |
1,1646 |
1,1709 |
1,1772 |
1,1836 |
1,1899 |
1,1963 |
1,2026 |
1,2058 |
1,2122 |
|
-26 |
1,1393 |
1,1456 |
1,1519 |
1,1581 |
1,1644 |
1,1705 |
1,1768 |
1,1831 |
1,1862 |
1,1925 |
|
-22 |
1,1212 |
1,1274 |
1,1336 |
1,1396 |
1,1458 |
1,1519 |
1,1581 |
1,1643 |
1,1673 |
1,1735 |
|
-18 |
1,1036 |
1,1097 |
1,1158 |
1,1218 |
1,1278 |
1,1338 |
1,1399 |
1,1400 |
1,1490 |
1,1551 |
|
-14 |
1,0866 |
1,0926 |
1,0986 |
1,1045 |
1,1105 |
1,1164 |
1,1224 |
1,1284 |
1,1313 |
1,1373 |
|
-10 |
1,0701 |
1,0760 |
1,0819 |
1,0877 |
1,0986 |
1,0994 |
1,1053 |
1,1112 |
1,1141 |
1,1200 |
|
-6 |
1,0540 |
1,0599 |
1,0657 |
1,0714 |
1,0772 |
1,0829 |
1,0887 |
1,0945 |
1,0974 |
1,1032 |
|
-2 |
1,0385 |
1,0442 |
1,0499 |
1,0556 |
1,0613 |
1,0669 |
1,0726 |
1,0784 |
1,0812 |
1,0869 |
|
0 |
1,0309 |
1,0366 |
1,0423 |
1,0477 |
1,0535 |
1,0591 |
1,0648 |
1,0705 |
1,0733 |
1,0789 |
|
+2 |
1,0234 |
1,0291 |
1,0347 |
1,0402 |
1,0459 |
1,0514 |
1,0571 |
1,0627 |
1,0655 |
1,0712 |
|
+6 |
1,0087 |
1,0143 |
1,0198 |
1,0253 |
1,0309 |
1,0363 |
1,0419 |
1,0475 |
1,0502 |
1,0557 |
|
+10 |
0,9944 |
0,9999 |
1,0054 |
1,0108 |
1,0162 |
1,0216 |
1,0272 |
1,0326 |
1,0353 |
1,0407 |
|
+14 |
0,9806 |
0,9860 |
0,9914 |
0,9967 |
1,0027 |
1,0074 |
1,0128 |
1,0183 |
1,0209 |
1,0263 |
|
+18 |
0,9671 |
0,9725 |
0,9778 |
0,9880 |
0,9884 |
0,9936 |
0,9989 |
1,0043 |
1,0069 |
1,0122 |
|
+20 |
0,9605 |
0,9658 |
0,9711 |
0,9783 |
0,9816 |
0,9868 |
0,9921 |
0,9974 |
1,0000 |
1,0053 |
|
+22 |
0,9539 |
0,9592 |
0,9645 |
0,9696 |
0,9749 |
0,9800 |
0,9853 |
0,9906 |
0,9932 |
0,9985 |
|
+24 |
0,9475 |
0,9527 |
0,9579 |
0,9631 |
0,9683 |
0,9735 |
0,9787 |
0,9839 |
0,9865 |
0,9917 |
|
+26 |
0,9412 |
0,9464 |
0,9516 |
0,9566 |
0,9618 |
0,9669 |
0,9721 |
0,9773 |
0,9799 |
0,9851 |
|
+28 |
0,9349 |
0,9401 |
0,9453 |
0,9503 |
0,9655 |
0,9605 |
0,9657 |
0,9708 |
0,9734 |
0,9785 |
|
+30 |
0,9288 |
0,9339 |
0,9891 |
0,9440 |
0,9432 |
0,9542 |
0,9594 |
0,9645 |
0,9670 |
0,9723 |
|
+34 |
0,9167 |
0,9218 |
0,9268 |
0,9318 |
0,9368 |
0,9418 |
0,9468 |
0,9519 |
0,9544 |
0,9595 |
|
+38 |
0,9049 |
0,9099 |
0,9149 |
0,9198 |
0,9248 |
0,9297 |
0,9347 |
0,9397 |
0,9421 |
0,9471 |
|
_________________________________________________________ |